EVO真人

新闻中心
NEWS CENTER
资讯分类

乌布吉泮:API合成工艺开发进展

  • 分类:行业动态
  • 发布时间:2025-12-19 09:10
  • 访问量:

【概要描述】乌布吉泮(Ubrogepant)是首个获FDA批准,用于急性偏头痛发作治疗的CGRP受体拮抗剂。

乌布吉泮:API合成工艺开发进展

【概要描述】乌布吉泮(Ubrogepant)是首个获FDA批准,用于急性偏头痛发作治疗的CGRP受体拮抗剂。

  • 分类:行业动态
  • 发布时间:2025-12-19 09:10
  • 访问量:
详情

一、概述

 

乌布吉泮(Ubrogepant)是首个获FDA批准,用于急性偏头痛发作治疗的CGRP受体拮抗剂。

图片

图1. 乌布吉泮结构

1.1 乌布吉泮上市信息

乌布吉泮最初由默沙东公司研制,2015年7月,默沙东公司与美国艾尔建(Allergan)制药公司签署许可协议,授予其在全球开发许可权,负责制造、监控产品质量和商业化。

2019年6月,Allergan被艾伯维(AbbVie)生物制药公司收购,2019年12月23日乌布吉泮小分子口服片获美国食品药品管理局(Food and Drug Administration, FDA)批准上市,商品名为Ubrelvy®

图片

图2. 乌布吉泮获批时间轴

1.2 主要国家和地区的乌布吉泮化合物专利情况

表1:主要国家和地区的乌布吉泮化合物专利情况

图片

1.3 已上市的靶向CGRP通路的吉泮类药物信息

目前,已有4种CGRP小分子受体拮抗剂获FDA批准上市,分别为乌布吉泮、瑞美吉泮、阿托吉泮、扎维吉泮。

表2:已上市的靶向CGRP通路的吉泮类药物信息
图片

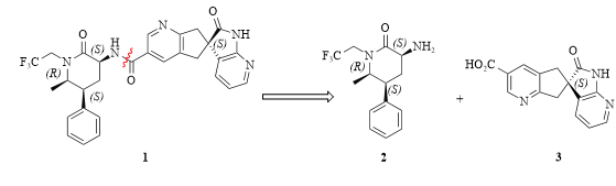
二、乌布吉泮API分子的逆合成分析

 

根据逆合成分析,乌布吉泮(化合物1)由化合物2和3两个关键片段组成,二者的高效构建是乌布吉泮制备的技术核心。以下将重点介绍化合物2、3的合成工艺路线。

图片

3. 乌布吉泮(化合物1)逆合成分析

三、乌布吉泮关键中间体2的合成工艺路线

 

3.1 化学法路线

3.1.1 以3-氯苯丙酮为起始物料

路线一(原研公司专利CN103328478B[1]:以3-氯苯丙酮(化合物4)为原料,经取代、还原胺化、环化、手性拆分、脱Boc反应得到关键中间体2。

PS:参考专利涉及中间体2的其它通式路线,具体可参考其原文。

图片
图4. 中间体2的合成路线一[1]

3.2 化学-酶法路线

3.2.1 以N-叔丁基-L-丝氨酸异丙基酯为起始物料

原研公司专利CN104168768B[2]公开了两条以N-叔丁基-L-丝氨酸异丙基酯(化合物9)为原料的合成路线:
路线二:化合物9经磺酰化、碘代、烷基化、氢化反应得到中间体14,再经转氨酶催化、N-烷基化、脱Boc、成盐拆分、游离得到关键中间体2;
路线三:化合物9经消除、烷基化反应得到中间体14,最终制得关键中间体2。

此外,专利CN103998461B[3-6]公开了通过转氨酶催化构建其手性结构的方法,EVO真人也开发了该酶法技术。

图片

图5. 中间体2的合成路线二、三[2]

四、乌布吉泮关键中间体3的合成工艺路线

 

4.1 以化合物23为起始物料

路线一(原研公司专利CN103328478B)[1]:以(S)-3'-氨基螺[1H-吡咯并[2,3-b]吡啶-3,6'-5,7-二氢环戊并[b]吡啶]-2-酮(化合物23)为原料,经碘代、插羰、水解反应得到关键中间体3。

图片

6. 中间体3的合成路线一[1]

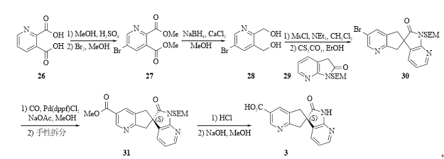
4.2 以邻吡啶二甲酸为起始物料

路线二(原研公司专利CN103328478B)[1]:以邻吡啶二甲酸(化合物26)为原料,经甲酯化、溴代、还原、甲磺酰化、关环、插羰、手性拆分、脱保护、水解反应得到关键中间体3。

图片

7. 中间体3的合成路线[1]

4.3 以2,3-二溴-5-氯吡啶为起始物料

路线三(原研公司专利CN104168768B)[2]:以2,3-二溴-5-氯吡啶(化合物32)为原料,经甲醛化、还原、THP保护、甲醛化、与化合物47反应、还原、脱保护得到中间体49,再经氯化、环化、插羰、脱除叔丁基保护得到关键中间体3。中间体45也可经TIPS保护、羰基化、水解、卤代、与化合物55反应得到中间体49。

图片

图8中间体3的合成路线[2]

4.4 以5,6-二甲基烟腈为起始物料

路线四:胡琳等[7,8]报道了中间体3的合成路线,以5,6-二甲基烟腈(化合物45)为原料,经卤代、环化、脱Boc得到关键中间体3。

图片

图9中间体3的合成路线[7,8]

五、乌布吉泮API分子的合成工艺路线

 

中间体2和3经缩合反应即可得到乌布吉泮[2]

图片

图10. 乌布吉泮(化合物1)的合成[2]

参考文献

[1] Ian M. Bell, Mark E. Fraley, Steven N. Gallicchio, et al. 哌啶酮羧酰胺氮杂茚满CGRP受体拮抗剂: 中国, 103328478B [P]. 2015-10-07.

[2] Kevin M. Belyk, Edward Cleator, Shen-Chun Kuo, et al. 制备CGRP受体拮抗剂的方法: 中国, 104168768B [P]. 2017-03-01.

[3] CABIROL FABIEN L, CHEN HAIBIN, GOHEL ANUPAM, et al. 用于合成取代的内酰胺的生物催化剂和方法: 中国, 103998461B [P]. 2018-02-02.

[4] HONG HAO; GAGE JAMES; XIAO YI, et al. 转氨酶突变体及其应用: 中国, 114525265B [P]. 2022-09-30.

[5] 陈海滨,胡虎,蔡宝琴, . 用于合成乌布吉泮中间体的生物催化剂和方法. 中国, 117425728A [P]. 2024-01-19

[6] Nobuyoshi Yasuda, Ed Cleator, Birgit Kosjek. Practical Asymmetric Synthesis of a Calcitonin Gene-Related Peptide (CGRP) Receptor Antagonist Ubrogepant [J]. Organic Process Research &Development, 2017, 21(11), 1851-1858.

[7] 胡琳, 高敏. 一种手性氧化吲哚螺环类似物的催化不对称合成方法及应用: 中国, 114105860A [P]. 2022-03-01.

[8] Min Gao, Yongyi Li, Xuemin Li, et al. Phase-Transfer Catalyzed Asymmetric Annulations of Alkyl Dihalides with Oxindoles: Unified Access to Chiral Spirocarbocyclic Oxindoles [J]. Org. Lett. 2022, 24, 875880.

×

搜索

搜索
这是描述信息

热线:021-68187180

传真:021-68187179

邮箱:services@aishangfaka.com

                    sales@aishangfaka.com

地址:上海市浦东新区周浦镇蓝靛路1199号

这是描述信息
版权所有©EVO真人(上海)有限公司    沪ICP备09012407号      沪公网安备31011502015262号   
×